Click to go to Anacity Portal to manage your Flats activities and accounts
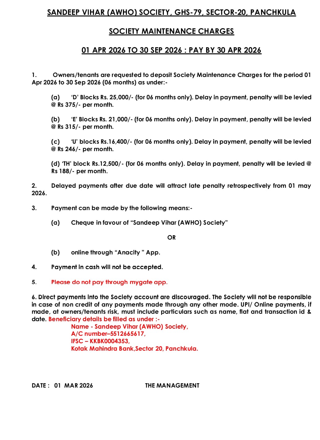
Society Charges – Apr 2026 to Sep 2026
Six Monthly Society Charges to be paid by 30 Apr 2026
Deluxe – Rs 25,000/-
Economy – Rs 21,000/-
Utility – Rs 16,400/-
Thrifty – Rs 12,500/-
Society Maintenance Charges and other dues can be paid ONLY by Cheque or Through Anacity App. No payments are to be made through My Gate App since the contract with them is terminated.
Transaction charges apply for payments through Anacity App.
Payments made through online transactions / UPI directly into the society account will be at the owners risk.
Important Messages
Society Notices
AWHO Letter on Registrations
Brochure for Veterans
Record of Important Information
The long standing issue of Third LEC demand has finally been resolved.
The General Body during its meeting on 11 Apr 2025 had approved acceptance of the HSVP’s VSSS Scheme under which the demand had been substantially reduced. The following Resolution was passed by the GBM:-
“The House resolves to accept the settlement of the enhancement demands by HSVP under VSSS Scheme and authorises the Managing Committee to deposit the requisite payment, by due date.
The House authorises the Managing Committee to take following actions:-_
- Collect the amount due from each member.
- Raise funds from within the society resources or externally to bridge any gap due to delayed deposits.
- Impose penalties for delayed deposits.
- Withdraw the ongoing Contempt Petition against HSVP in High Court.
- Finalise the interest as on 31 Mar 2025, due to the members who have provisionally deposited Third LEC.
- Refund the residual payment of these deposits after concluding actions related to VSSS Scheme.
The management commenced the process of collection of deposits from members, while simultaneously arranging deposit of the demand with HSVP.
As on date the deposit amount has been received from all members except for one. Similarly, refund with interest thereon on the deposits made since 2016 in case of sale of flats, has also been completed, except one for once case.
No Demand Certificate on account of the Third LEC Demand has been received from HSVP.
Details of individual dues can be viewed by CLICKING HERE.







Management Committee 2023-2026 Portfolios
Elections to Managing Committee 2023-26
Apply for Identity Card
Notice AGM 2023 and Auditors Report FY 2022-2023
Elections 2020-2023
Society Notices
Society Newsletter August 2018
The original Vision and the Two Year Report Card
Annual Audit Reports (Balance Sheets)
Monthly Income and Expenditure Statements
Writ Petition (CWP 3226 OF 2018)against HUDA
Procedure for Payment of 3rd Land Enhancement
Background to the current situation on 3rd Land Enhancement
Flat wise List of Amount to be paid for 3rd Land Enhancement
Society Bye Laws
SOP on Security
SOP on Tenancy
SOP on Repairs
SOP on Electronic Boom Barrier
Tender Notices
Rate List for Services
Blocks In Charge
Emergency Numbers
Utilities Contacts
Flats for Rent / Sale / Purchase
Trend of Rentals for Flats
AWHO Master Brochure
Defaulters of Society Charges
Minutes of GBM /MCM (Archives)
SOP on Card Kitty Room
SOP on Card Kitty Room
List of Defaulters – Society Charges
The Haryana Societies Registration Act 2012
The Haryana Societies Registration Rules 2012
The Haryana Apartment Ownership Act 1983
The Haryana Urban (Control of Rent and Eviction Act), 1973

